一乐电子

 找回密码
 请使用微信账号登录和注册会员

QQ登录

只需一步,快速开始

微信扫码登录

手机号码,快捷登录

手机号码,快捷登录

搜索
查看: 3256|回复: 7

运放电路分析方法请教

[复制链接]
发表于 2013-10-21 23:40 | 显示全部楼层 |阅读模式
本帖最后由 younge 于 2013-10-22 23:17 编辑

最近又开始捣鼓运放电路,一般简单点的基本能搞定。带储能元件的动动笔头也有信心,不过对输出串联一个电阻一类的运放电路,怎不知怎样分析。如果硬是要解,我想可能需要运用电路里面的些定理了。关于下图,从一个pcb教程材料上看到的,就是看不懂,如果用节点电压法应该可以强解。
贴出求教,往高手不吝赐教,大家一起学习进步
QQ图片20131021222425.jpg 刚才已经解答出来了,在此感谢高手、前辈们的指导。有几个问题想请教前辈高手们
  • 此类运放电路,是不是一般都临时推导,还是熟能生巧,做多了就记住放大倍数表达式了
  • 二楼前辈指点说图中Vref分析时候可以直接按地处理就可以了,但实际是电平抬升了,如故后续能够判断Vref是电平抬升左右,难道可以直接先忽略Vref,然后再输出表达式后面直接加一个Vref而不计该项倍数?
  • 计算后发现,基准和运放间的R2(据说是保护电阻)其值对倍数有影响,为什么称之为“保护电阻”?
  • 能否定性的分析下R2的保护作用呢?还有对共模电压是如何影响的

经过下面两位前辈点拨,我自己计算了一遍,计算的是一楼朋友附件里面的电路。如下 QQ截图20131022230624.jpg


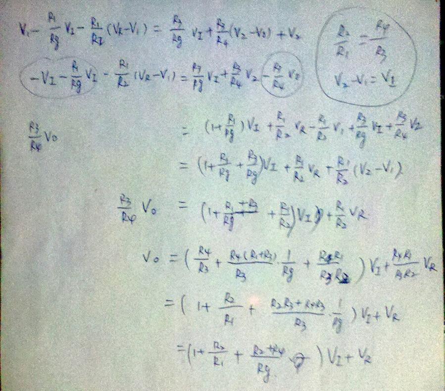
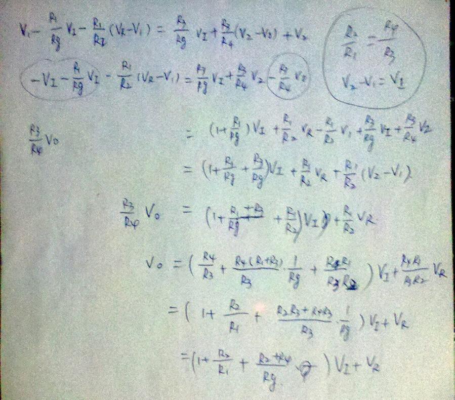
下面草稿中R3为上图的R1' ,R4为R2',且假设VI=V2-V1,如下图。
1.jpg
2.jpg


发表于 2013-10-22 09:05 | 显示全部楼层
百度一下结果

MT-062_cn.pdf

242.58 KB, 下载次数: 237, 下载积分: 一乐金币 -1

双运放仪表放大器.pdf

104.07 KB, 下载次数: 220, 下载积分: 一乐金币 -1

回复

使用道具 举报

发表于 2013-10-22 11:02 | 显示全部楼层
估计你被那个基准搞迷糊了。把基准当作虚地看,前面就是电桥冷端的运放构成同相放大器,后面的运放还是同相放大器,不过和前面的运放的放大结果求差再放大。在加上基准就容易理解了。实际就是要把前面可能出现的电位提升到大于零的值,因为AD无法采集负数。
回复

使用道具 举报

 楼主| 发表于 2013-10-22 21:33 | 显示全部楼层
fujiachun 发表于 2013-10-22 11:02
估计你被那个基准搞迷糊了。把基准当作虚地看,前面就是电桥冷端的运放构成同相放大器,后面的运放还是同相 ...

谢谢指点,其实我是被那个Rg搞糊涂了。还在琢磨
回复

使用道具 举报

 楼主| 发表于 2013-10-22 21:33 | 显示全部楼层

非常感谢,你提供的附件很有营养啊
回复

使用道具 举报

发表于 2013-10-23 09:00 | 显示全部楼层
younge 发表于 2013-10-22 21:33
非常感谢,你提供的附件很有营养啊

  • 此类运放电路,是不是一般都临时推导,还是熟能生巧,做多了就记住放大倍数表达式了 运放就那集中基本电路,其他的都是组合来的。放大倍数就是单个算出的在处理。
  • 二楼前辈指点说图中Vref分析时候可以直接按地处理就可以了,但实际是电平抬升了,如故后续能够判断Vref是电平抬升左右,难道可以直接先忽略Vref,然后再输出表达式后面直接加一个Vref而不计该项倍数?  Vref和放大倍数无关,看你自己贴的公式,就是加法。
  • 计算后发现,基准和运放间的R2(据说是保护电阻)其值对倍数有影响,为什么称之为“保护电阻”? 为什么是保护电阻?不懂。它和Rg构成加法器,不知道那里有保护作用。
  • 能否定性的分析下R2的保护作用呢?还有对共模电压是如何影响的

回复

使用道具 举报

发表于 2013-10-23 12:23 | 显示全部楼层
这个值得学习...
回复

使用道具 举报

 楼主| 发表于 2013-10-23 22:49 | 显示全部楼层
fujiachun 发表于 2013-10-23 09:00
  • 此类运放电路,是不是一般都临时推导,还是熟能生巧,做多了就记住放大倍数表达式了 运放就那集中基 ...

  • 感谢回复,嘿嘿
    你所解答的我多能接受,也知道。反正我的本意隐隐约约就不是想问你所说的也不是我所问,应该是缺少练习所致。
    回复

    使用道具 举报

    本版积分规则

    QQ|一淘宝店|手机版|商店|一乐电子 ( 粤ICP备09076165号 ) 公安备案粤公网安备 44522102000183号

    GMT+8, 2025-11-27 17:32 , Processed in 0.034717 second(s), 28 queries , Gzip On.

    Powered by Discuz! X3.5

    © 2001-2025 Discuz! Team.

    快速回复 返回顶部 返回列表