一乐电子

 找回密码
 请使用微信账号登录和注册会员

QQ登录

只需一步,快速开始

微信扫码登录

手机号码,快捷登录

手机号码,快捷登录

搜索
楼主: 国望堂

电炉丝的电流阻值曲线(局部)---在11楼

[复制链接]
 楼主| 发表于 2011-7-17 20:14 | 显示全部楼层
温度系数不好测量,我就简单地测了一下电流和电阻的关系
条件:2KW的电炉丝,M8电源,电流表(VC9802),电压表(VC86D)
下面测量数据为同一截电炉丝的3种测量,因为M8电源最大电流2.5A,最大电压22V,所以数据统计可能不够全面,仅作参考。
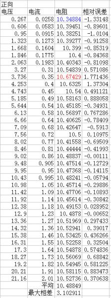
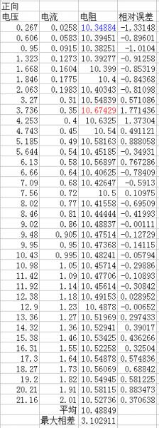
图1:正向加大电压,自然散热

正向加大电压,自然散热.png
说明:前面电流4位数为0.2A档测得,后面为10A档测得

图2:反向降低电压,自然散热
反向降低电压,自然散热.png

电流全部为10A档测得,小电流2个数误差太大,人为不计算

图3:正向加大电压,风扇散热

正向加大电压,风扇散热.png

电流全部为10A档测得,小电流2个数误差太大,人为不计算

上面测量数据为同一截电炉丝的3种测量,因为M8电源最大电流2.5A,最大电压22V,所以数据统计可能不够全面,仅作参考。
结果:最小电流(约0.3A),到最大电流(约2A)时,不论是否加强散热,测得的电阻平均值(10.48、10.45、10.42),最大差值0.06欧。每组测量中,最大最小差分别为3.1%、1.8%、1.4%
结论:电流变化在(0.3~2A)范围内,作为负载,在比较粗略的使用时,是可以不考虑温度的影响的,即粗略认为阻值是恒定的。
回复

使用道具 举报

发表于 2011-7-17 22:22 | 显示全部楼层
放油里会好一点。
回复

使用道具 举报

发表于 2011-7-17 23:11 | 显示全部楼层
帮顶
回复

使用道具 举报

发表于 2011-7-23 19:12 | 显示全部楼层
好的。正需要。
回复

使用道具 举报

 楼主| 发表于 2012-7-1 22:55 | 显示全部楼层
顶起来,备用
回复

使用道具 举报

本版积分规则

QQ|一淘宝店|手机版|商店|一乐电子 ( 粤ICP备09076165号 ) 公安备案粤公网安备 44522102000183号

GMT+8, 2025-11-26 06:29 , Processed in 0.031654 second(s), 23 queries , Gzip On.

Powered by Discuz! X3.5

© 2001-2025 Discuz! Team.

快速回复 返回顶部 返回列表